您的位置:

首页>新闻动态>部门动态
丽景华城涉案房屋撤销网签备案公告

 

日期:2025年11月26日  来源:市住房和城乡建设局

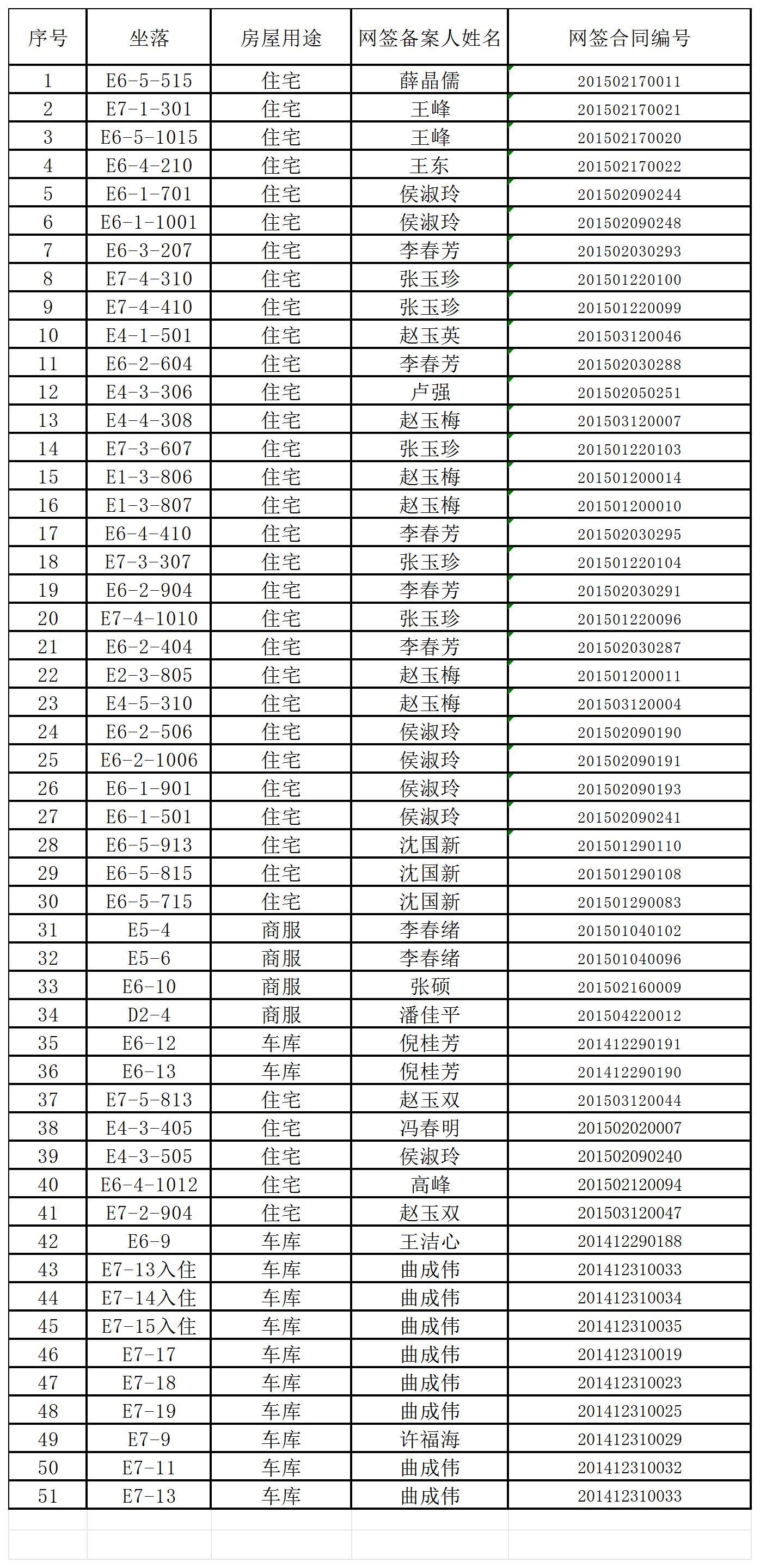
    按照绥化市不动产领域办证难问题专项整治工作专班工作提示,依据绥化市公安局侦办情况说明及《中华人民共和国民法典》第一百四十六条、第二百零九条和《最高人民法院关于适用民法典合同编通则若干问题的解释》第十三条,现决定撤销以下房屋网签备案,现将房源人员名单公布如下。


关联稿件:

扫一扫在手机打开当前页
返回顶部 打印本页 关闭本页